キーストンサイエンティフィック株式会社

シンガポール Revivo BioSystems社

4D臓器チップとヒト組織モデルの開発と製造

REVIVO BioSystemsは、2014年創業のスキンチップ研究プログラムに端を発する、シンガポールに本社を置くA*STARからのスピンオフ企業です。創業チームは、現在もシンガポール製造技術研究所とA*STARの医療生物学研究所で、REVIVO BioSystemsのプラットフォームである組織摘出物チップとスキンチップ技術を自主開発しています。
 
4Dヒト組織モデルに特化したtissue-on-a-chipマイクロフィジオロジー技術プラットフォームは、人体の組織や臓器の生理学的条件を再現し、Ex-VivoおよびIn-Vitroモデルで自然な組織特性を確立します。血流機能を模倣したマイクロ流体導入でのプラットフォーム技術の能力により、4D組織モデルは優れた形態学的およびバリア特性を示します。この次世代技術は、動物実験の必要性をなくし、ヒトとの関連性と製品試験の効率を改善、健常および疾患組織モデルに対する局所的および全身的適用の効果の研究を可能にします。またEx-VivoおよびIn-Vitro研究における新たな発見と方法を可能にします。
 
*「Organ-on-chip(臓器チップ)」とは、創薬を加速化する生体模倣システム。 人体臓器を模したチップ上に微細な流路を形成し、その上にヒト細胞を培養することができます。

取扱製品

全自動フラクションコレクター 

全自動フラクションコレクター ReleGO

透過試験用組織スクリーニングシステム
●有効成分および製品製剤のEx-Vivo及びIn-Vivoでの安全性、有効性、浸透性試験を実施
●4個のREVexチップで最大12個のサンプルを同時試験
●事前設定した時点における流出サンプルの自動的かつ確実な収集

スキンチップ用微小流体プレート

4Dスキンチップ用微小流体デバイス REVex

●小型化されたクレジットカードサイズのマイクロ流体チップ
●実際のヒト摘出物、市販の再建組織、合成膜に完全に適合
●血流を模倣したマイクロ流体経路で構成

使用例

  
創傷治癒皮膚モデル

クリックすると拡大します。

 
 
 
 
 
 
 
4D組織皮膚モデル

クリックすると拡大します。

 
 

4D組織モデルによる創傷治癒

創傷治癒皮膚モデルは、創傷治癒のプロセスを研究し、急性および慢性創傷に対する潜在的な治療介入を試験するために使用できます。
 
これらのモデルは、炎症、細胞遊走、増殖、細胞外マトリックスの沈着など、創傷治癒のさまざまな段階をIn Vitroで模倣するように設計されており、ドレッシング材、クリーム、ゲルなどの創傷治癒製品の有効性を試験するための制御された再現性の高い環境を提供します。
 
創傷治癒のための従来の静的皮膚モデルの課題は、創傷治癒に重要な血流、細胞の動き、細胞外マトリックスのリモデリングなど、生体組織の動的環境をシミュレートできないことでした。
 
ReleGO™は、同じ組織の変化を経時的に追跡できる動的なシステムで、組織間のばらつきを排除することができます。マイクロ流体プラットフォームは、2型糖尿病のような慢性疾患の治療に不可欠な創傷治癒の動態の測定に使用できます。
 
皮膚のバリア機能が低下したときに皮膚から分泌されるマーカーをモニターすることで、治療が治癒を促進するかどうかを簡単に判断できます。
 
傷ができると、表皮のさまざまな層が剥がれ落ち、真皮が空気にさらされます。この時、皮膚は治癒プロセスの一環として速やかに創傷マーカーを放出します。治癒過程で表皮が徐々に表面を覆うようになると、創傷マーカーの量は治癒が完全に完了するまで減少してゆきます。このマーカーの分泌を経時的に追跡することで、治癒の速度を測定し、特定の物質や状態がそのプロセスを早めるか遅らせるかを判断することができます。

 
 
 
 
 
 
 
 
 
 
 
 
 
 
 
 
 
 
  
年代別老化モデル

クリックすると拡大します。

 
 

年代別老化モデル

老化の秘密を解き明かす: 加齢モデルの重要性
加齢皮膚モデルは、加齢の複雑さを理解し、皮膚の健康と外観を改善するための新しい治療法や介入策を開発するための科学的ツールキットの重要な構成要素です。加えて、加齢皮膚モデルは革新的なスキンケア製品の開発にも役立ち、研究者や化粧品メーカーは加齢皮膚に対する様々な製剤の有効性をテストすることができます。
 
従来の皮膚老化モデルでは、酸化ストレスの概念に大きく依存しています。このアプローチは、皮膚老化のメカニズムに関する重要な洞察をもたらしたが、大きな限界の一つは、皮膚の老化に関与する様々な生物学的プロセスの複雑な相互作用を単純化しすぎていることです。酸化ストレスに基づくモデルは、慢性炎症、遺伝子発現の変化、細胞シグナル伝達経路の障害など、酸化ストレスに関連しない因子の皮膚老化への寄与を見落とす傾向があります。
 
4D臓器オンチップ技術による皮膚老化の理解の促進
REVskin™と呼ばれる新たな4D組織モデルを利用して、組織の老化をシミュレートし、皮膚細胞の増殖と幹細胞を保護する治療法を探求しています。灌流システムを利用して、独自の老化カクテルを皮膚組織に投与し、年代的老化をシミュレートします。他のモデルとは異なり、このプロセスは従来の酸化ストレス系に依存せず、IL-1αとLDHアッセイの両方が陰性であったことからわかるように、観察可能な毒性やストレスは生じません。模擬血流中のマーカーの放出をモニターすることで、このモデルは、局所的または全身的に投与された抗老化化合物の効果的な試験を可能にします。この非酸化ベースのアプローチは、自然の生理学により近く、灌流システムを用いてのみ効率的に達成できます。
 
4歳児のドナーから採取した細胞で構成される再構築組織に対する、加齢シミュレーターの影響を調べた結果、加齢誘導7日後には、表皮の厚みの顕著な減少が観察され、Ki67とLamin B1染色が有意に減少した。Ki67は活発に分裂している細胞の指標であり、一方Lamin B1は若さに関連するマーカー。
 

 

 
 
フランツセルとの比較

クリックすると拡大します。

 
 
 
 
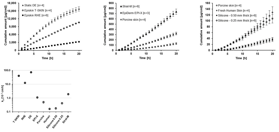
無限投与試験の例

図1 
クリックすると拡大します。

 
 

次世代型 Ex-Vivo & In-Vitro透過試験

分子の経皮的吸着は、スキンケアや製薬研究における新規製剤の設計・開発において重要なステップです。 経皮吸収試験は、有効成分のバイオアベイラビリティ(生物学的利用能)を検証し、その有効性を推定するために、局所製剤や経皮または経皮薬物送達システムを評価するためにIn-Vitroで実施することができます。
 
In Vitro経皮吸収試験には、ヒト皮膚摘出物(Ex Vivoモデル)、ヒト皮膚等価物の培養膜(In Vitroモデル)、または合成膜が用いられます。

 現在の透過試験は主にFranz拡散セルを用いて行われていますが、サンプルの希釈が高く、手作業が多く、大量の皮膚サンプルが必要などの制約があります。

 
この状況を克服するために透過試験およびIn Vitro放出試験(IVRT)に小型化された動的フロースルーのマイクロ流体デバイス(REVex™チップ)を使用する自動試験プラットフォーム(ReleGO™)を開発しました。
 
REVex™チップは経皮透過実験を行う際に著しく高い精度を達成することが証明されています。
 
ヒト皮膚、市販の皮膚培養膜、合成膜など、すでに市場に出回っている様々な皮膚組織モデルと完全に適合するように設計されています。
 
図1. 自動化されたReleGO™プラットフォームとREVex™チップを使用した無限投与試験の例。REVex™チップに入れたさまざまな種類の皮膚摘出物(およびシミュラント)を透過する無限用量のカフェインの累積量プロファイルとモデルによるバリエーション。
 
Source: Alberti M, Dancik Y, Sriram G, Wu B, Teo YL, Feng Z., Bigliardi-Qi M, Wu RG, Wang ZP, Bigliardi P. Multi-chamber microfluidic platform for high precision skin permeation testing. Lab Chip 2017;17:1625-34.

 
HOME | リビボ・バイオシステムズ社 TOP